2020-2021年河南省洛阳市高一数学(理科)下学期期中试卷及答案(Word版)

2020-2021年河南省洛阳市高一数学(理科)下学期期中试卷及答案(Word版)昊趣阁资源网昊趣阁资源网
2020-2021年河南省洛阳市高一数学(理科)下学期期中试卷及答案(Word版)
此内容为付费资源,请付费后查看
会员专属资源
您暂无购买权限,请先开通会员
类型Word
页数8 页
大小736.80 KB
付费资源
已售 562

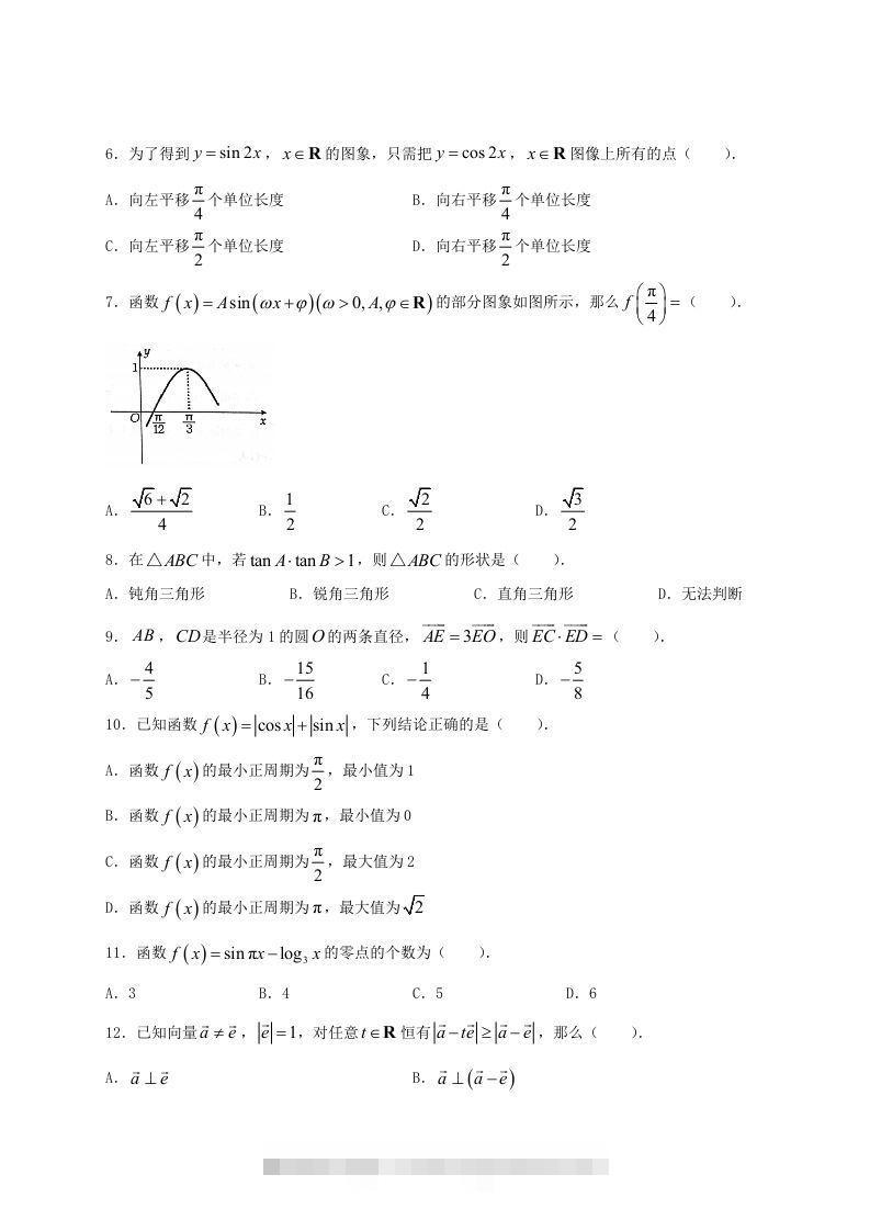
图片[1]昊趣阁资源网2020-2021年河南省洛阳市高一数学(理科)下学期期中试卷及答案(Word版)昊趣阁资源网昊趣阁资源网
图片[2]昊趣阁资源网2020-2021年河南省洛阳市高一数学(理科)下学期期中试卷及答案(Word版)昊趣阁资源网昊趣阁资源网

预览已结束,还剩5页未读,下单本商品后可免费下载高清完整文档

© 版权声明
THE END
喜欢就支持一下吧
点赞9 分享
相关推荐
评论 抢沙发

请登录后发表评论

    暂无评论内容